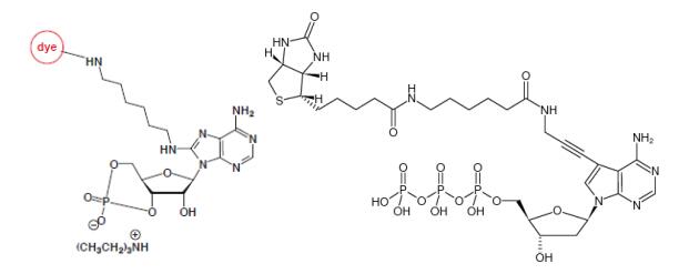
标记核苷酸是什么?
标记核苷酸是生命科学研究的一个关键要素,是分子生物学检测中特定核酸序列的有效工具,通常通过酶的作用而结合到DNA或RNA序列中进行检测和分析。其具有出色的安全性、稳定性和便捷性,是用于原位杂交、基因表达谱分析或电泳迁移率转移分析(EMSA)的核酸探针的常见标记。
标记核苷酸产品应用:
- 核酸序列测定(Southern/Northern印记)
- Hi-C技术,捕捉染色质构象
- 菌落与噬菌体,细胞与染色体的原位杂交
- 基因表达分析
- 治病病原体检测
- 遗传病与肿瘤诊断
Jena Bioscience由德国马普所(MPI)的分子生物学家于1998年共同创办, 供应特色标记核苷酸/类核苷,标记荧光探针、点击化学、蛋白结晶等产品,分别通过DIN EN ISO 9001,DIN EN ISO 14001,EMAS认证。 Jena Bioscience 有丰富的多种颜色的荧光标记核苷酸,下表是部分热销的荧光标记核苷酸产品:
DNA标记—荧光标记核苷酸

RNA标记—荧光标记核苷酸

上海金畔生物科技有限公司是Jena Bioscience 中国区代理,为用户提供完善的技术支持和售后服务。如对产品感兴趣欢迎拨打上海金畔生物科技有限公司客服热线021-50837765或者登录网站www.jinpanbio.cn了解更多信息。


